KOOCHESFAHANY
عضو جدید
بسمه تعالی

(واحد تمامی پارامترها متریک است.)
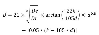
ارتفاع پله K :
قطر چال d :
جرم حجمی مواد منفجره De :
جرم حجمی سنگ Dr :
بار سنگ B :
این فرمول بر اساس نسبتهای صحیح حاکم بر قطر چال ، ارتفاع پله و بار سنگ بیان شده است.
به طوری که سر در گمی کاربر را برای بکار گیری نسبتهای صحیح به کلی از بین می برد و در آن رابطه ارتفاع پله با بردن کاملا متفاوت از سایر فرمولها می باشد.(جدول 1)
پیش فرضی که در این رابطه مستتر است ، خرج اصلی چال یعنی آنفو می باشد که بهمراه یک پرایمر در چال انفجاری عمل می کند.
همچنین کیفیت سنگ در این فرمول برای انفجار خوب تا خیلی خوب و ابعاد خردایش متوسط فرض شده است.(جدول 2)
فرمول دارای دو قسمت است که قسمت اول آن مناسب ترین بردن را با پیش فرض های ارائه شده محاسبه می کند
و قسمت دوم بردن مناسب را برای ارتفاع های مختلف ارائه می دهد.
در این رابطه سعی شده است تا بر اساس داده های ساده و متداول ، نقطه اکسترمم خرج ویژه را به عنوان بهترین نقطه اقتصادی در میان تمام احتمالهای فنی موجود انتخاب نمود
که شامل بردن ایده آل نیز می باشد.در جدول 3 مقادیر متناظر بار سنگ با استفاده از فرمول جدید ارائه شده است.
البته این فرمول برای استفاده در نرم افزار Bench Blasting طراحی شده است. بکار گیری ضرایب اصلاحی نرم افزار که اغلب حاصل تبدیل توصیفات کیفی مشاهدات میدانی می باشد ،
می تواند امکان تعیین هر چه واقعی تر بار سنگ را فراهم نماید. در شکل های 1 و 2 تصاویری از این نرم افزار ارائه شده است.
از جمله این ضرایب می توان به خطاهای حفر چال ، شرایط درزه داری سنگ ، خواص الاستیسیته سنگ ،
وضعیت امتداد و شیب لایه ها نسبت به امتداد جبهه کار و محدودیتهای ناشی از لایه بندی اشاره نمود.
- فرمول بردن جدید

(واحد تمامی پارامترها متریک است.)
ارتفاع پله K :
قطر چال d :
جرم حجمی مواد منفجره De :
جرم حجمی سنگ Dr :
بار سنگ B :
این فرمول بر اساس نسبتهای صحیح حاکم بر قطر چال ، ارتفاع پله و بار سنگ بیان شده است.
به طوری که سر در گمی کاربر را برای بکار گیری نسبتهای صحیح به کلی از بین می برد و در آن رابطه ارتفاع پله با بردن کاملا متفاوت از سایر فرمولها می باشد.(جدول 1)
پیش فرضی که در این رابطه مستتر است ، خرج اصلی چال یعنی آنفو می باشد که بهمراه یک پرایمر در چال انفجاری عمل می کند.
همچنین کیفیت سنگ در این فرمول برای انفجار خوب تا خیلی خوب و ابعاد خردایش متوسط فرض شده است.(جدول 2)
فرمول دارای دو قسمت است که قسمت اول آن مناسب ترین بردن را با پیش فرض های ارائه شده محاسبه می کند
و قسمت دوم بردن مناسب را برای ارتفاع های مختلف ارائه می دهد.
در این رابطه سعی شده است تا بر اساس داده های ساده و متداول ، نقطه اکسترمم خرج ویژه را به عنوان بهترین نقطه اقتصادی در میان تمام احتمالهای فنی موجود انتخاب نمود
که شامل بردن ایده آل نیز می باشد.در جدول 3 مقادیر متناظر بار سنگ با استفاده از فرمول جدید ارائه شده است.
البته این فرمول برای استفاده در نرم افزار Bench Blasting طراحی شده است. بکار گیری ضرایب اصلاحی نرم افزار که اغلب حاصل تبدیل توصیفات کیفی مشاهدات میدانی می باشد ،
می تواند امکان تعیین هر چه واقعی تر بار سنگ را فراهم نماید. در شکل های 1 و 2 تصاویری از این نرم افزار ارائه شده است.
از جمله این ضرایب می توان به خطاهای حفر چال ، شرایط درزه داری سنگ ، خواص الاستیسیته سنگ ،
وضعیت امتداد و شیب لایه ها نسبت به امتداد جبهه کار و محدودیتهای ناشی از لایه بندی اشاره نمود.